본문 바로가기 사이드메뉴 바로가기 주메뉴 바로가기

미디어센터

A multimedia mosaic of moments at GIST

GIST Excellence

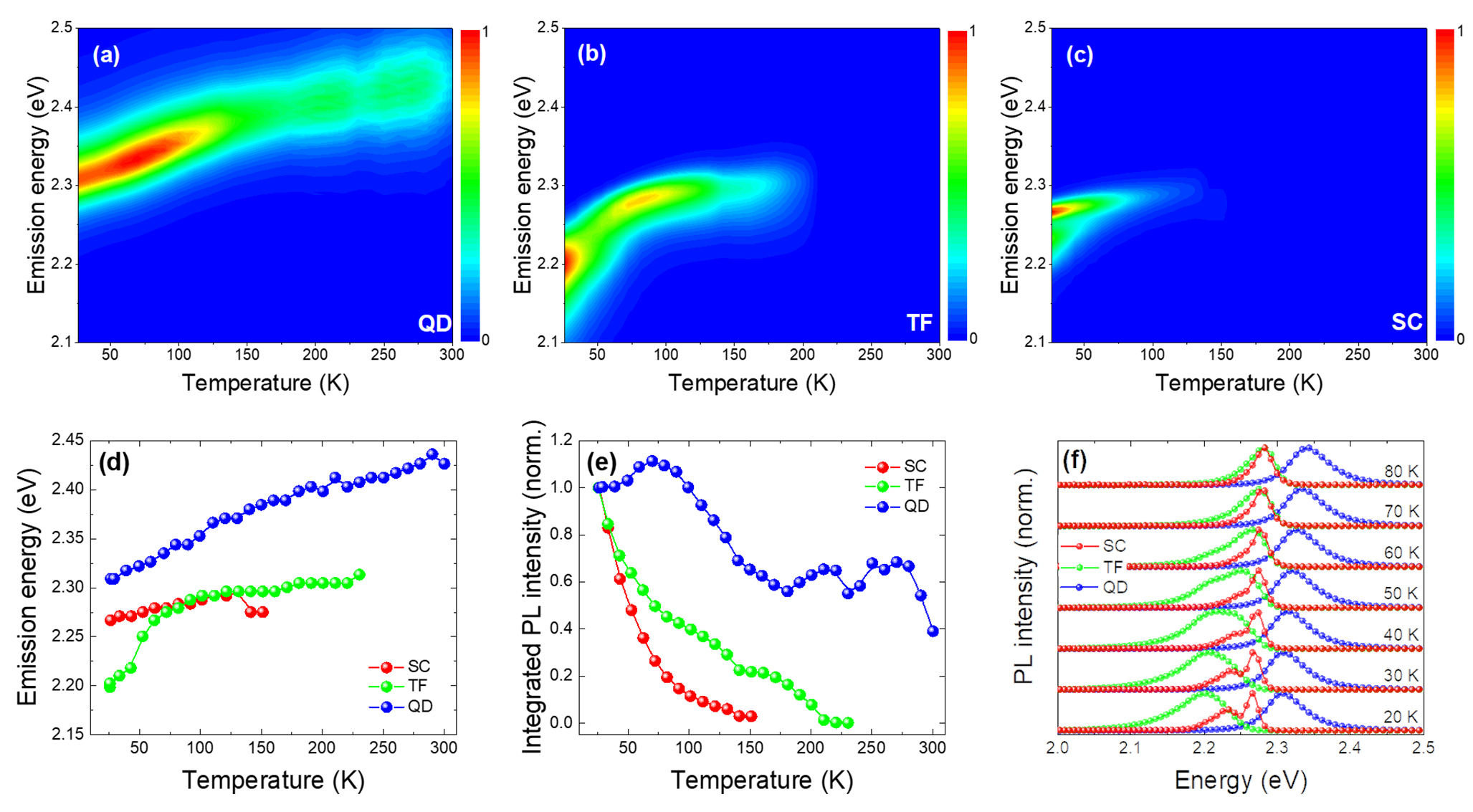
고등광기술연구소 이창열 연구원 연구팀, 페로브스카이트 양자점 상온 발광원리 규명

  • 대외협력팀
  • 등록일 : 2018.07.25
  • 조회수 : 1654